[置頂] 一般焊接用德國DIAS紅外測溫儀和紅外熱像儀
[置頂] 激光焊接加工、3D打印中的測溫方法及熱成像方法
[置頂] 真空環境下,該使用什么德國DIAS紅外測溫儀和紅外熱像儀呢?
潛規則:中國歷史中的真實游戲--自序
自 序
“潛規則”是我杜撰的詞。我還想到過一些別的詞,例如灰色規則、內部章程、非正式制度等等,但總覺得不如“潛規則”貼切。這個詞并不是憑空杜撰出來的,它來源于我的一段生活經歷。
......
【晁補之】摸魚兒·東皋寓居
【晁補之】摸魚兒·東皋寓居
買陂塘、旋栽楊柳,依稀淮岸湘浦。
東皋嘉雨新痕漲,沙觜鷺來鷗聚。
堪愛處,最好是,一川夜月光流渚。
無人獨舞。
任翠幄張天,柔茵藉地,酒盡未能去。
青綾被,莫憶金閨故步。儒冠曾把身誤。
弓刀千騎成何事?荒了邵平瓜圃。
君試覷,滿青鏡、星星鬢影今如許!
功名浪語。
便似得班超,封侯萬里,歸計恐遲暮。
晁補之(1053年—1110年11月8日),字無咎,號歸來子,濟州鉅野(今山東巨野)人,北宋文人,“蘇門四學士”(另有北宋詩人黃庭堅、秦觀、張耒)之一。隨著元祐黨人地位的變化而沉浮宦海。崇寧二年(1103)被免官回到故鄉(山東巨野),自號歸來子,于東山上修葺歸來園,過著陶淵明式的隱士生活。這首詞就是此時所作。
報任安書-司馬遷
太史公牛馬走司馬遷,再拜言,少卿足下:
曩者辱賜書,教以慎于接物,推賢進士為務,意氣勤勤懇懇。若望仆不相師,而用流俗人之言,仆非敢如此也。仆雖罷駑,亦嘗側聞長者之遺風矣。顧自以為身殘處穢,動而見尤,欲益反損,是以獨郁悒而無誰語。諺曰:“誰為為之?孰令聽之?”蓋鐘子期死,伯牙終身不復鼓琴。何則?士為知己者用,女為悅己者容。若仆大質已虧缺矣,雖材懷隨和,行若由夷,終不可以為榮,適足以見笑而自點耳。書辭宜答,會東從上來,又迫賤事,相見日淺,卒卒無須臾之間,得竭指意。今少卿抱不測之罪,涉旬月,迫季冬,仆又薄從上雍,恐卒然不可為諱,是仆終已不得舒憤懣以曉左右,則長逝者魂魄私恨無窮。請略陳固陋。闕然久不報,幸勿為過。
仆聞之:修身者,智之符也;愛施者,仁之端也;取予者,義之表也;恥辱者,勇之決也;立名者,行之極也。士有此五者,然后可以托于世,列于君子之林矣。故禍莫憯于欲利,悲莫痛于傷心,行莫丑于辱先,詬莫大于宮刑。刑余之人,無所比數,非一世也,所從來遠矣。昔衛靈公與雍渠同載,孔子適陳;商鞅因景監見,趙良寒心;同子參乘,袁絲變色:自古而恥之!夫中材之人,事有關于宦豎,莫不傷氣,而況于慷慨之士乎!如今朝廷雖乏人,奈何令刀鋸之余,薦天下之豪俊哉!仆賴先人緒業,得待罪輦轂下,二十余年矣。所以自惟:上之,不能納忠效信,有奇策材力之譽,自結明主;次之,又不能拾遺補闕,招賢進能,顯巖穴之士;外之,不能備行伍,攻城野戰,有斬將搴旗之功;下之,不能積日累勞,取尊官厚祿,以為宗族交游光寵。四者無一遂,茍合取容,無所短長之效,可見于此矣。鄉者,仆亦嘗廁下大夫之列,陪外廷末議。不以此時引綱維,盡思慮,今已虧形為掃除之隸,在阘茸之中,乃欲卬首伸眉,論列是非,不亦輕朝廷、羞當世之士邪?嗟乎!嗟乎!如仆尚何言哉!尚何言哉!
且事本末未易明也。仆少負不羈之才,長無鄉曲之譽,主上幸以先人之故,使得奉薄伎,出入周衛之中。仆以為戴盆何以望天,故絕賓客之知,忘室家之業,日夜思竭其不肖之材力,務一心營職,以求親媚于主上。而事乃有大謬不然者!夫仆與李陵俱居門下,素非能相善也。趣舍異路,未嘗銜杯酒,接殷勤之余歡。然仆觀其為人,自守奇士,事親孝,與士信,臨財廉,取予義,分別有讓,恭儉下人,常思奮不顧身,以殉國家之急。其素所蓄積也,仆以為有國士之風。夫人臣出萬死不顧一生之計,赴公家之難,斯已奇矣。今舉事一不當,而全軀保妻子之臣隨而媒孽其短,仆誠私心痛之。且李陵提步卒不滿五千,深踐戎馬之地,足歷王庭,垂餌虎口,橫挑強胡,仰億萬之師,與單于連戰十有余日,所殺過當。虜救死扶傷不給,旃裘之君長咸震怖,乃悉征其左、右賢王,舉引弓之民,一國共攻而圍之。轉斗千里,矢盡道窮,救兵不至,士卒死傷如積。然陵一呼勞軍,士無不起,躬自流涕,沬自飲泣,更張空弮,冒白刃,北首爭死敵者。陵未沒時,使有來報,漢公卿王侯皆奉觴上壽。后數日,陵敗書聞,主上為之食不甘味,聽朝不怡。大臣憂懼,不知所出。仆竊不自料其卑賤,見主上慘凄怛悼,誠欲效其款款之愚,以為李陵素與士大夫絕甘分少,能得人之死力,雖古之名將,不能過也。身雖陷敗,彼觀其意,且欲得其當而報于漢。事已無可奈何,其所摧敗,功亦足以暴于天下矣。仆懷欲陳之,而未有路,適會召問,即以此指,推言陵之功,欲以廣主上之意,塞睚眥之辭。未能盡明,明主不曉,以為仆沮貳師,而為李陵游說,遂下于理。拳拳之忠,終不能自列。因為誣上,卒從吏議。家貧,貨賂不足以自贖,交游莫救,左右親近不為一言。身非木石,獨與法吏為伍,深幽囹圄之中,誰可告愬者!此真少卿所親見,仆行事豈不然乎?李陵既生降,隤其家聲,而仆又佴之蠶室,重為天下觀笑。悲夫!悲夫!事未易一二為俗人言也。
仆之先人,非有剖符丹書之功,文史星歷,近乎卜祝之間,固主上所戲弄,倡優畜之,流俗之所輕也。假令仆伏法受誅,若九牛亡一毛,與螻蟻何以異?而世又不與能死節者比,特以為智窮罪極,不為自免,卒就死耳。何也?素所自樹立使然也。人固有一死,或重于泰山,或輕于鴻毛,用之所趨異也。太上,不辱先,其次不辱身,其次不辱理色,其次不辱辭令,其次詘體受辱,其次易服受辱,其次關木索、被箠楚受辱,其次剔毛發、嬰金鐵受辱,其次毀肌膚、斷肢體受辱,最下腐刑極矣!傳曰“刑不上大夫”。此言士節不可不勉厲也。猛虎在深山,百獸震恐,及在檻阱之中,搖尾而求食,積威約之漸也。故士有畫地為牢,勢不入;削木為吏,議不對,定計于鮮也。今交手足,受木索,暴肌膚,受榜箠,幽于圜墻之中。當此之時,見獄吏則頭槍地,視徒隸則心惕息。何者?積威約之勢也。及以至是,言不辱者,所謂強顏耳,曷足貴乎!且西伯,伯也,拘于羑里;李斯,相也,具于五刑;淮陰,王也,受械于陳;彭越、張敖,南面稱孤,系獄抵罪;絳侯誅諸呂,權傾五伯,囚于請室;魏其,大將也,衣赭衣,關三木;季布為朱家鉗奴;灌夫受辱于居室。此人皆身至王侯將相,聲聞鄰國,及罪至罔加,不能引決自裁,在塵埃之中。古今一體,安在其不辱也?由此言之,勇怯,勢也;強弱,形也。審矣,何足怪乎?夫人不能早自裁繩墨之外,以稍陵遲,至于鞭箠之間,乃欲引節,斯不亦遠乎!古人所以重施刑于大夫者,殆為此也。夫人情莫不貪生惡死,念父母,顧妻子,至激于義理者不然,乃有所不得已也。今仆不幸,早失父母,無兄弟之親,獨身孤立,少卿視仆于妻子何如哉?且勇者不必死節,怯夫慕義,何處不勉焉!仆雖怯懦,欲茍活,亦頗識去就之分矣,何至自湛溺累紲之辱哉!且夫臧獲婢妾,猶能引決,況仆之不得已乎?所以隱忍茍活,幽于糞土之中而不辭者,恨私心有所不盡,鄙陋沒世,而文采不表于后世也。
古者富貴而名摩滅,不可勝記,唯倜儻非常之人稱焉。蓋文王拘而演《周易》;仲尼厄而作《春秋》;屈原放逐,乃賦《離騷》;左丘失明,厥有《國語》;孫子臏腳,《兵法》修列;不韋遷蜀,世傳《呂覽》;韓非囚秦,《說難》《孤憤》;《詩》三百篇,大底圣賢發憤之所為作也。此人皆意有所郁結,不得通其道,故述往事、思來者。乃如左丘無目,孫子斷足,終不可用,退而論書策,以舒其憤,思垂空文以自見。仆竊不遜,近自托于無能之辭,網羅天下放失舊聞,略考其行事,綜其終始,稽其成敗興壞之紀,上計軒轅,下至于茲,為十表,本紀十二,書八章,世家三十,列傳七十,凡百三十篇。亦欲以究天人之際,通古今之變,成一家之言。草創未就,會遭此禍,惜其不成,是以就極刑而無慍色。仆誠以著此書,藏之名山,傳之其人,通邑大都,則仆償前辱之責,雖萬被戮,豈有悔哉!然此可為智者道,難為俗人言也!
且負下未易居,下流多謗議。仆以口語遇遭此禍,重為鄉黨戮笑,以污辱先人,亦何面目復上父母之丘墓乎?雖累百世,垢彌甚耳!是以腸一日而九回,居則忽忽若有所亡,出則不知其所往。每念斯恥,汗未嘗不發背沾衣也!身直為閨閤之臣,寧得自引深藏于巖穴邪?故且從俗浮沉,與時俯仰,以通其狂惑。今少卿乃教以推賢進士,無乃與仆私心剌謬乎?今雖欲自雕琢,曼辭以自飾,無益,于俗不信,適足取辱耳。要之,死日然后是非乃定。書不能悉意,故略陳固陋。謹再拜。
22'德國DIAS紅外公司新產品:帶以太網接口的短波紅外測溫儀
德國DIAS紅外公司新產品:帶以太網接口的短波紅外測溫儀
德國DIAS紅外公司最新的PYROSPOT 47系列
Con il tuo nome , 你的名字, 意大利女歌手Ivana Spagna
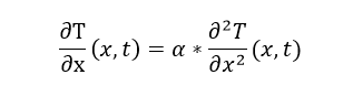
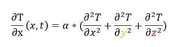
一維熱傳導方程, 三維熱傳導方程
一維熱傳導方程


三維熱傳導方程


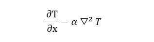
三維熱傳導方程又可以簡寫為:


2022、2023年即將停產的紅外測溫儀及紅外熱像儀型號
2022年3月25日接德國DIAS紅外公司正式郵件,下面的型號即將停產,停產時間及替代產品也請參見如下表格:
| 產品名稱 | 最后訂單日 | 替代品 |
| PYROVIEW 480N portable | 停產 | 無 |
| PYROLINE 128N compact | 2022/7/31 | PYROLINE 512N compact+ |
| PYROLINE 128N protection | 2022/7/31 | PYROLINE 512N protection |
| PYROLINE 256N compact | 2022/7/31 | PYROLINE 512N compact+ |
| PYROLINE 256N protection | 2022/7/31 | PYROLINE 512N protection |
| DT54L | 停產 | 無 |
| DT54G | 停產 | 無 |
| DT56L | 停產 | 無 |
| DT56G | 停產 | 無 |
| DY10G | 停產 | DA10G |
| DP10N | 2023/3/1 | 無 |
| DPE10M | 2023/3/1 | DA10M |
| DPE10MF | 2023/3/1 | DA10F / DA10MF |
| 以太網接口箱DCU IoP | 2022/7/31 | 無 |
更多信息,請咨詢我們。
陸凱《贈范曄詩》- 2個陸凱
陸凱《贈范曄詩》
折梅逢驛使,寄與隴頭人。
江南無所有,聊贈一枝春。
陸凱(?-504年),本姓步六孤,字智君,代郡(今山西代縣)人,鮮卑族,北魏人。
非三國時吳國人鎮西大將軍、荊州牧、嘉興侯、左丞相陸凱(198-269年)。
高靈敏度熱釋電單元和多元探測器
高靈敏度熱釋電單元和多元探測器
通過網絡傳輸紅外熱成像儀的視頻流
德國DIAS紅外公司的軟件,如PYROSOFT Professional、PYROSOFT Professional IO、PYROSOFT Automation、PYROSOFT Automation SC中已經集成了H.264格式的可編程實時視頻流編碼器(RTSP),這樣就可以通過網絡傳輸紅外熱成像儀的視頻流。其它在原始紅外熱圖像中的信息,比如ROI(感興趣的區域)或顯示的溫度,也會以數據流的形式傳輸。這樣就可以輕松連接多個熱像儀觀測站。